#HOT PRODUCT

[Polysciences 한국공식대리점] DOTAP Chloride 제품 소개

등록일2025. 03. 12
조회수446
링크 복사하기
[Polysciences 한국공식대리점] DOTAP Chloride 제품 소개

[Polysciences] Product


어스바이오는 Polysciences 한국 공식 대리점으로서 모든 제품을 전문적으로 취급 및 공급하고 있습니다.
Polysciences의 Cationic lipids 제품을 소개드립니다.
 

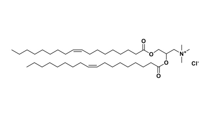
[Polysciences] DOTAP Chloride

Polysciences 한국공식대리점

Product Information:

  • DOTAP Chloride (N-[1-(2,3-Dioleoyloxy)propyl]-N,N,N-trimethylammonium chloride)은 DNA, RNA 및 기타 음전하를 띤 분자의 체외 및 생체 내 주입에 널리 사용되는 양이온성 리포솜 형성 화합물입니다.
  • DOTAP encapsulates the nucleic acids to form a stable complex spontaneously by means of electrostatic interaction, facilitates cell attachment, internalization by endocytosis as well as endosomal escape by proton sponge.
  • COVID-19 백신 및 약물 전달 시스템과 같은 mRNA 백신 개발에서 Nanoparticles (LNPs) 또는 Nanostructured Lipid carriers (NLCs)의 형성에 사용되었습니다. 이 제품은 연구용으로만 제공됩니다.

Key features:
- High efficiency and reproducibility
- Cost effective and easy to use
- Scalable

Application(s):
- Transfection of DNA, RNA, and oligonucleotides, Lipid Nanoparticles (LNPs), Nanostructured Lipid Carriers (NLCs), mRNA vaccine development, Drug delivery system development

Shipping Requirements: 
- Dry Ice

Appearance:
- White to off white solid

Molecular Weight:
- 698.54

Storage:
- Store powdered material at -20°C, protect from moisture and light.
 


어스바이오(USBIO)는 Polysciences 한국 공식 대리점입니다.
해당 제품에 대한 문의나 Polysciences 제품의 견적 또는 문의사항이 있으시면 아래로 연락주시기 바랍니다.
Tel : 02-862-2816 / email : bio@usbio.co.kr
관련 포스트