#HOT PRODUCT

[Polysciences 한국공식대리점] DOTAP Methyl Sulfate 제품소개

등록일2025. 01. 08
조회수395
링크 복사하기
[Polysciences 한국공식대리점] DOTAP Methyl Sulfate 제품소개

[Polysciences] Product

 
약 60년의 운영 기간 동안 Polysciences는 맞춤형 합성, 계약 제조 및 포장 섹션을 수용하는 기술 운영 및 과학 실험실의 결합체로 성장했습니다. Polysciences는 매일 핵심 시장의 변화하는 요구 사항을 충족하기 위해 가장 유용한 제품과 고급 솔루션을 제공하기 위해 노력하고 있습니다. 

어스바이오는 Polysciences 한국 공식 대리점으로서 모든 제품을 전문적으로 취급 및 공급하고 있습니다.
Polysciences의 Lipids for Nanodelivery Systems 제품을 소개드립니다.
 

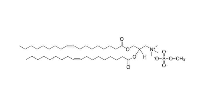
[Polysciences] DOTAP Methyl Sulfate 제품 소개

Polysciences 한국공식대리점
 


Product Information:

DOTAP MS (N-[1-(2,3-Dioleoyloxy)propyl]-N,N,N-trimethylammonium methyl-sulfate) is a proven reagent for the highly efficient liposomal transfection of DNA, RNA, oligonucleotides, and some other negatively charged large biomolecules. Several other techniques of introducing genetic material into cells may suffer from inadequate reproducibility, cytotoxicity, inconvenience of process, and low transfection efficiency.

DOTAP avoids these drawbacks and works by encapsulating the negatively charged DNA within a spontaneously formed liposomal vesicle. This DOTAP/DNA complex can then fuse with the cell membrane and insert DNA directly into the cytoplasm. This mechanism of action ensures transfection occurs efficiently and with little to no cytotoxicity.


Features:

  • Non-cytotoxic at working concentrations
  • High efficiency and reproducibility
  • Cost effective and easy to use
 

어스바이오(USBIO)는 Polysciences 한국 공식 대리점입니다.
해당 제품에 대한 문의나 Polysciences 제품의 견적 또는 문의사항이 있으시면 아래로 연락주시기 바랍니다.
Tel : 02-862-2816 / email : bio@usbio.co.kr
관련 포스트